By: Miranda Copenhaver, Chloe Nash, Wanda Wilkins, Lauren Behringer, and Jazmin Santillan C.
Throughout this week, we have worked through multiple problems dealing with both classical mechanics and special relativity. We found the main difference between classical mechanics and special relativity to be the assumptions made about time as a constant. This is what we mean:
- In classical mechanics it is assumed that time is a constant that is observed the same for all viewers.
- In special relativity time cannot be taken as a constant. Because the speed of light is the same for all observers, time-dilation occurs.
So, if you are getting a little lost it’s completely normal. We have a couple of examples of both classical mechanics and special relativity below:
To familiarize ourselves with space-time diagrams and classical mechanics we started with a simple problem, which is shown to you below:
1) In the first problem Alice (traveling person) is trying to move as quickly as possible from one end of the airport to the other. The airport is 500 meters long with a walkway in the center measuring 100 meters long. Alice is moving at a pace of 1 meter/second and the walkway is moving in the same direction at 1 meter/second as well. Sometime during her walk Alice has to stop and tie her shoes for 10 seconds. To reach the end of the airport as quickly as possible, should Alice tie her shoes before, during, or after the walkway?
- The three space-time diagrams we decided represented Alice’s path through the airport at any given time when she ties her shoes:



- After plotting out the space-time diagrams, we discovered the best optimal time that Alice could tie her shoe was while she’s on the walkway.
- No matter the scenario (e.g. changes in the length of the walkway, Alice’s walking speed, speed of the walkway, time it takes Alice to tie her shoes) it is always better for Alice to tie her shoes on the walkway.
2) Using c (the speed of light) ≈
convert the following units.
- Some other important information for using classical mechanics and special relativity is knowing the terms “light-year,” “light-second,” and “light-meter.” It may sound weird to accept at first but “light-year,” and “light-second” are actually measurements of distance, and “light-meter” is a measurement of time.
- Light-year is how far light travels in the course of a year (hint: a REALLY long distance).
- Light-second is how far light travels in the course of a second.
- Light-meter is the amount of time it takes light to travel a meter.
- 1 light-second =
meters - 1 meter =

- 1 light-meter =
secs. - 1 second =
light-meters
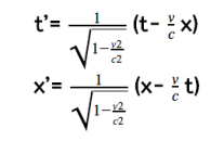
3) In space-time diagrams, x and t are the coordinates given for the stationary reference frame and x’ and t’ are the coordinates given for the moving reference frame. Using one of the assumptions of classical mechanics, that time is the same for all observers, t and t’ have to be the same. Therefore, the only variables that will differ between the two reference frames are x and x’.
- Imagine that Alice is floating in space and Barbara is moving through space at 0.5c (half the speed of light). At t=0, Barbara is directly above Alice. As Barbara is moving she is holding a long stick that is marked off in meters. (Remember that Barbara thinks she is stationary so this stick is a very reasonable measure of distance for her.)

- Consider a point 1 meter away from Alice (x=1) at t=1. How far in front of her does Barbara think this point is using her measuring stick? Consider a point 1 meter away from Alice (x=1) at t=2, how far is the point from Barbara’s perspective now? What about a point 2 meters from Alice at t=0, 1, and 2?

From here we can see that a very simple formula (called the Galilean Transformation) can explain the relationship between x and x’.

However, using the theory of special relativity, we know that time is actually not the same for all observers and therefore our formulas get a little more complicated.

4) Now using the special relativity formulas (the Lorentz transformation), we repeat the same exact problem above to get this table:

- This chart shows how classical mechanics and special relativity differ. It proves that by assuming or not assuming that time is the same for all observers, the values for x’ and t’ change.
5) Here are two more charts, using two very different speeds for Barbara.

- The difference between t’ and x’ compared to x and t changes according to the difference between the speeds. When the objects’ speeds are moving at very different speeds, then the numbers differ greatly. If the speeds between the two objects are relatively similar, then the numbers are similar as well. This is shown by the charts above. Therefore, we can prove that the closer that the speed of the moving reference frame is to the speed of light, the more time and space seem to warp.
Through multiple relativity problems throughout this week we have seen and proved the main difference between special relativity and classical mechanics to be the assumptions made about time. Classical mechanics is the intuitive way of viewing the world, but it has one problem. For the speed of light to be the same for all observers, the calculations for distance and time that would be made using classical mechanics are slightly off, this is why Albert Einstein created special relativity. With its equations and thought processes, we can obtain more exact measurements of time and space.
Check out our podcast about Emmy Noether at https://soundcloud.com/girls_talk_math/emmy-noether!
